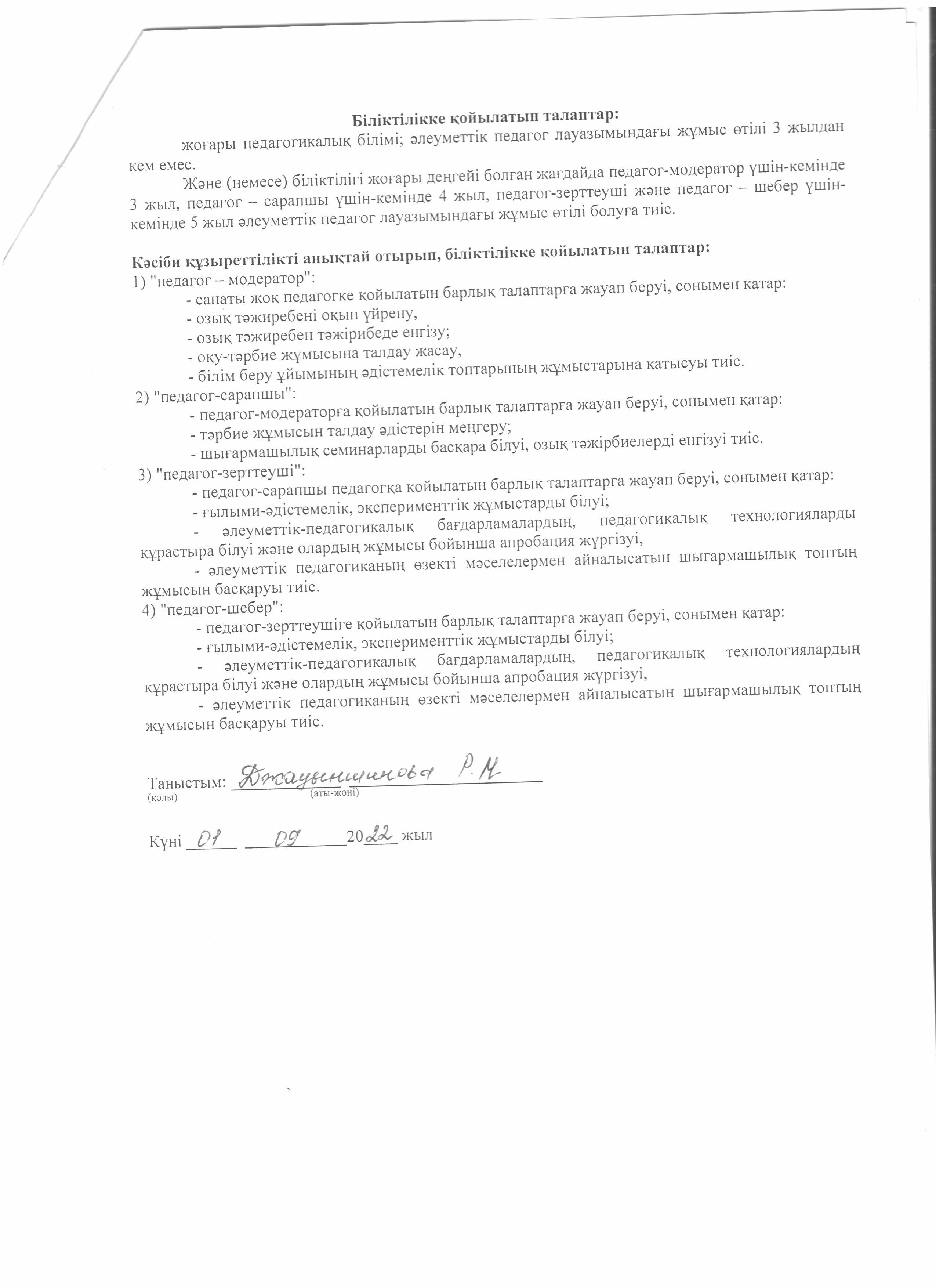
Әлеуметтік педагогтың лауазымдық міндеттері » Коммунальное государственное учреждение 'Средняя школа гимназия имени Кадыргали Косымулы Жалаири'
Жетісу облысы
Көксу ауданы білім бөлімінің
"Қ.Қ.Жалайыри атындағы орта мектеп-гимназиясы"
коммуналдық мемлекеттік мекемесі
Қабылдау бөлімі :
+7(72838) 2-01-16
Есепші бөлімі:
+7(72838) 2-01-16
Нашар көрушілер
нұсқасы
01
сентябрь
2022

Әлеуметтік педагогтың лауазымдық міндеттері

Прокомментировать
  • bowtiesmilelaughingblushsmileyrelaxedsmirk
    heart_eyeskissing_heartkissing_closed_eyesflushedrelievedsatisfiedgrin
    winkstuck_out_tongue_winking_eyestuck_out_tongue_closed_eyesgrinningkissingstuck_out_tonguesleeping
    worriedfrowninganguishedopen_mouthgrimacingconfusedhushed
    expressionlessunamusedsweat_smilesweatdisappointed_relievedwearypensive
    disappointedconfoundedfearfulcold_sweatperseverecrysob
    joyastonishedscreamtired_faceangryragetriumph
    sleepyyummasksunglassesdizzy_faceimpsmiling_imp
    neutral_faceno_mouthinnocent
Введите код с картинки:* Кликните на изображение чтобы обновить код, если он неразборчив